“Equações são mais importantes para mim, porque a política é para o presente, mas a equação é algo para a eternidade.”
Albert Einstein
________________________________________________________________
Sabem o que é isto?
Vão dando palpites nos comentários…
Eu darei a resposta na próxima terça-feira (13/01/15)
(os comentários vão sendo temporariamente embargados para não influenciarem outros leitores)
Como se chama isto? O que é esta equação?
________________________________________________________________
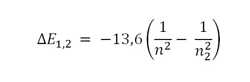
Cavalheiros, a equação acima trata-se da Energia Referente de Transição Genérica do Nível n1 para o Nível n2 do Modelo de Bohr, para o átomo de hidrogênio.
Em 1913, o físico dinamarquês publicou um artigo propondo esclarecimentos acerca do Modelo de Rutherford para o átomo de hidrogênio – no qual, possuía contradições com a Física Clássica, a saber:
—————————-
1) Carga elétrica acelerada, de modo contínuo, deveria irradiar energia. Uma vez tal concessão, o sistema entra em colapso, já que os elétrons atingiriam o núcleo do átomo, no tempo de 1 milionésimo de segundo; e
2) Variações no raio da órbita dum elétron, é possível obter séries infinitas de frequências (até então, os experimentos com o átomo de hidrogênio apresentavam espectros de emissão com linhas bem definidas).
—————————-
A teoria de Bohr para o átomo de hidrogênio propõe que:
1) Um elétron só pode estar em determinadas órbitas circulares sem irradiação de energia; tais órbitas significam posições estáveis, denominadas estados estacionários;
2) Qualquer órbita estacionária possível é tal que o momento angular do elétron é um múltiplo dum valor fundamental;
3) Durante um salto quântico (infelizmente, não é isso que você está pensando), ocorre um correspondente, denominado quantum, que possui energia exatamente igual à diferença de energia entre as órbitas;
4) O quantum é emitido quando Einicial > Efinal .
—————————-
Portanto, a frequência pode ser obtida de acordo com a equação abaixo:
f = (Einicial – Efinal) / h
O Modelo de Bohr estabelece que a energia referente ao nível energético n é dada por:
En = – 13,6 / n2 , com n = 1,2,3,4,5, … (número quântico principal)
No estado fundamental, n =1. Então:
E1 = – 13,6 eV ,
Todavia, a energia referente à transição genérica do nível n1 para n2 é definida pela equação abaixo:
ΔE1,2 = – 13,6 [(1/n1,2) – (1/(n2,2) no qual:
ΔE1,2 = energia de transição do nível 1 para o nível 2 (em eV);
– 13,6 = energia necessária para retirar o elétron do estado fundamental (em eV);
n1,2 = nível n1;
n2,2 = nível n2;
O que denota a equação-desafio proposta.




11 comentários
Passar directamente para o formulário dos comentários,
À todos os participantes, os melhores cumprimentos.
O delta significa uma variação… O 1 e o 2 serão “números quânticos”…
Penso que poderá ter a ver com a transição entre dois níveis de energia E num determinado elemento… qual?
http://pt.wikipedia.org/wiki/N%C3%BAmero_qu%C3%A2ntico_principal
Depois de ler o texto em Inglês, penso que se trata do Hidrogénio:
The wave function of the Schrödinger wave equation reduces to the three equations that when solved lead to the first three quantum numbers.
Therefore, the equations for the first three quantum numbers are all interrelated. The principal quantum number arose in the solution of the radial part of the wave equation as shown below.
The Schrödinger wave equation describes energy eigenstates having corresponding real numbers En with a definite total energy which the value of En defines.
The bound state energies of the electron in the hydrogen atom are given by:
E_n = \frac {E_1}{n^2} = \frac {-13.6\text{ eV}}{n^2}, \quad n=1,2,3,\ldots
The parameter n can take only positive integer values. The concept of energy levels and notation was utilized from the earlier Bohr model of the atom. Schrödinger’s equation developed the idea from a flat two-dimensional Bohr atom to the three-dimensional wave function model.
Fonte: http://en.wikipedia.org/wiki/Principal_quantum_number
A equação apresentada, está re-arranjada para “salientar” o coeficiente de -13.6 que sopunha que estaria associada ao Hidrogénio.
Fiz uma pesquisa por “bound state energies of the electron” no google á espera de encontrar uma tabela com valores para cada elemento…
Depois ao ver este link: http://en.wikipedia.org/wiki/Energy_level
Reconheci imediatamente a equação que está no desafio…
Orbital state energy level: atom/ion with nucleus + one electron[edit]
Assume there is one electron in a given atomic orbital in a hydrogen-like atom (ion). The energy of its state is mainly determined by the electrostatic interaction of the (negative) electron with the (positive) nucleus. The energy levels of an electron around a nucleus are given by :
E_n = – h c R_{\infty} \frac{Z^2}{n^2}
(typically between 1 eV and 103 eV), where R∞ is the Rydberg constant, Z is the atomic number, n is the principal quantum number, h is Planck’s constant, and c is the speed of light. For hydrogen-like atoms (ions) only, the Rydberg levels depend only on the principal quantum number n.
This equation is obtained from combining the Rydberg formula for any hydrogen-like element (shown below) with E = h ν = h c / λ assuming that the principal quantum number n above = n1 in the Rydberg formula and n2 = ∞ (principal quantum number of the energy level the electron descends from, when emitting a photon).
The Rydberg formula was derived from empirical spectroscopic emission data.
\frac{1}{\lambda} = RZ^2 \left(\frac{1}{n_1^2}-\frac{1}{n_2^2}\right)
An equivalent formula can be derived quantum mechanically from the time-independent Schrödinger equation with a kinetic energy Hamiltonian operator using a wave function as an eigenfunction to obtain the energy levels as eigenvalues, but the Rydberg constant would be replaced by other fundamental physics constants.
Neste caso, como estamos a ver o Hidrogénio o Z=1 e o misterioso número -13.6 será a constante de Rydberg…
This constant is often used in atomic physics in the form of the Rydberg unit of energy:
1 \ \text{Ry} \equiv h c R_\infty = 13.605\;692\;53(30) \,\text{eV}.[2]
Fonte: http://en.wikipedia.org/wiki/Rydberg_constant / http://pt.wikipedia.org/wiki/Constante_de_Rydberg
Vi também: http://en.wikipedia.org/wiki/Energy_level / http://pt.wikipedia.org/wiki/N%C3%ADvel_de_energia
Além deste link: http://en.wikipedia.org/wiki/Rydberg_formula#Rydberg_formula_for_any_hydrogen-like_element
Em Inglês: http://en.wikipedia.org/wiki/Rydberg_formula
The Rydberg formula is used in atomic physics to describe the wavelengths of spectral lines of many chemical elements. It was formulated by the Swedish physicist Johannes Rydberg, and presented on 5 November 1888.
Em português: http://pt.wikipedia.org/wiki/F%C3%B3rmula_de_Rydberg
A fórmula de Rydberg (fórmula de Rydberg-Ritz) ou equação de Rydberg é utilizada em física atômica para determinar todo o espectro da luz emitida pelo hidrogênio, posteriormente estendida para uso com qualquer elemento pelo uso do princípio de combinação de Rydberg-Ritz.
O texto deste link só existe na wikipédia (por agora) em Inglês:
http://en.wikipedia.org/wiki/Rydberg%E2%80%93Ritz_combination_principle
The Rydberg-Ritz Combination Principle is the theory proposed by Walter Ritz in 1908 to explain the relationship of the spectral lines for all atoms. The principle states that the spectral lines of any element include frequencies that are either the sum or the difference of the frequencies of two other lines.
An atom can be excited to a higher energy state via absorption of a photon with sufficient energy, or decay to a lower energy state through spontaneous emission of a photon. However, according to the principles of Quantum mechanics, these excitations can only occur at certain energy intervals. The Rydberg–Ritz combination principle helps explain this process.
Nao faco a minima ideia do que de trata,mas adoraria saber.
Essa equação indica o valor da energia de Raio X liberada através do decaimento Radioativo de determinado elemento químico, onde o “n” é o valor do estado onde um elétron estava e decai para outro estado, liberando assim a energia característica do Raio X. Espero ter ficado claro, faz tempo que eu fiz Física 4 então não lembro muito ao certo
Até onde percebo decaimento radiocativo aplica-se e fenómenos que se passam, ou têm origem, no núcleo, o que não é o caso da formula que se aplica à energia radiada por transição de nivel por electrões. O primeiro tem a ver com forças nucleares o segundo com forças electromagnéticas.
Mostre o resultaro
Eu cá diria que o termo da direita deveria estar a dividir por “1 eV”. Disso estou certo.
Passando isso, não me lembro mesmo que essa equação tenha nome, se calhar tem, mas realmente não sei.
Claro que é uma “variação” da lei de Rydberg, mas eu penso que a lei de Rydberg se escreve com a frequência do lado esquerdo e não com a energia, mas isso de dar nome às equações é uma coisa escorregadia.
Claro que a energia e a frequência estão relacionados pela equação de Plank (aka Plank-Einstein) pela célebre E=h niu pelo que se chega rapidamente à equação do desafio, com a vantagem (diminuta) de não ser necessário estar no vácuo, sendo a constante de Rydberd e a constante de Plank de valor razoavelmente bem conhecidos. É fazer as contas, diria eu, e não sou primeiro ministro.
E sabendo também a carga do electrão, caro se queira ir para os eV
Rydberg?
Author
O equívoco do Daniel é compreensível. 😉
A equação de Rydberg está intrinsecamente contida na Teoria de Bohr.
Na verdade, este Modelo apresenta um valor numérico – mais precisamente, uma constante – para a energia total supracitada:
E_total = E_cinética + E_potencial
Trata-se da equação que, segundo o modelo de Bohr, nos permite qualquer a diferença de energia entre dois níveis no átomo de hidrogénio com os números quânticos principais n1 e n2. Corresponde à energia do fotão que é libertado quando um electrão transita do nível n1 para o nível n2. (Não me recordo do nome da equação.)