“A Matemática é a força-motriz que alavanca a Engenharia na direção das grandes realizações.”
Cavalcanti
________________________________________________________________
Sabem o que é isto?
Vão dando palpites nos comentários…
Eu darei a resposta na próxima quinta-feira (23/04/15)
(os comentários vão sendo temporariamente embargados, para não influenciarem outros leitores)
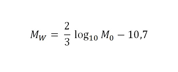
Como se chama isto? O que é esta equação?
________________________________________________________________
A equação acima retrata a Escala de Magnitude Momento, de abreviação MMS.
A equação foi proposta em 1979 por Thomas C. Hanks e Hiroo Kanamori, sismólogos americano e japonês, respectivamente, substituindo até então usual escala Richter (porém, mantendo-se a ordem de magnitude). Tal equação, além de medir a energia liberada durante atividades sísmicas, expresso por um fator de 10 (como percebe-se na equação do desafio proposto), soluciona inteiramente as invariâncias encontradas na escala Richter e magnitude em relação a ondas de superfície, que saturavam em valores entre 5,5 e 6,8, para grandes eventos sísmicos.
Em linhas gerais, um abalo sísmico é produzido pelo mecanismo de ruptura duma rocha, causando fadiga e consequente liberação de quantidades significativas de energia, na qual propagam-se ondas elásticas em todos os vetores.
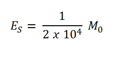
De acordo com Kanamori (1977), a energia sísmica irradiada Es pode ser descrita de acordo com a equação abaixo,
onde: Δσ = é o stress drop estático (variação entre o esforço num ponto antes e depois de um abalo sísmico);
μ = módulo cisalhante do meio;
M0 = medida da deformação inelástica irreversível na área de ruptura.
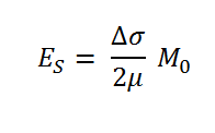
Reduzindo-se a equação acima, temos que:
A relação entre a magnitude da onda de superfície e a energia sísmica irradiada é objeto de estudo ao longo tanto do século passado quanto atual. Gutenberg e Richter (1956), após diversas revisões, propôs a seguinte relação:
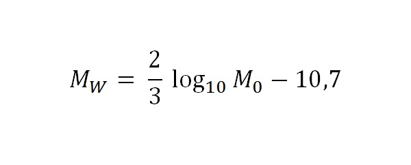
Na qual a energia sísmica irradiante está expressa em ergs (unidade do sistema CGS). Kanamori, por sua vez, a partir destas e de outras relações integrais, definiu equação da escala magnitude momento abaixo,
em que M0 é a medida do momento sísmico, em dina.cm.








6 comentários
Passar directamente para o formulário dos comentários,
Não cedendo ao argumento do “mestre disse” chamo a atenção que o Prof. Kanamori adoptou o SI nos seus trabalhos mais recentes, mesmo naqueles em que é único ou principal autor.
Sem estar a fazer um estudo detalhado das publicações de Kanamori chamo a atenção para, por exemplo,
http://www.earthquakeconference.org/Presentations/Kanamori%20-%20The%20diversity%20of%20earthquakes%20and%20mitigation%20implications%20_%20NEC%2008.pdf
Onde os momentos mecânicos já vêm expressos em “N m”
(tenho + referências)
Author
Parece-me que o Jose Simoes se faz de “desentendido”.
O objetivo das “equações-desafio” não é fazer as mesmas serem expressas no sistema de medidas “x” ou “y”.
CGS, que horror, que horror.
A formula apresentada pressupõe M0 em dine centímetro, unidade CGS, que horror, que horror. Estas formulas com logaritmos são geralmente escritas de um modo em que a formula expressa-se de modo que depende das unidades usadas, mas usar o sistema CGS, caramba, o maio de 68 já foi à quase 47 anos.
E depois as pessoas não sabem em que unidades devem exprimir o M0, usam o SI com toda a lógica, e a coisa dá resultados errados.
Vamos orgulhosamente actualizar-nos para o SI (Sistema Internacional de Unidadades) e escrever antes, e com mais 1 algarismo significativo
Mw=2/3 log10 M0 – 6.07 (quem diz 6.07 diz 6.06)
em que Mw é a Magnitude de Momento (adimensional) e M0 é o momento (mecânico) expresso, em N m (newton metro).
eu claro que prefiro escrever na forma
Mw=2/3 log10 (M0 / 1 N m) – 6.07
que funciona para quaisquer unidades de M0, incluindo dine centímetro (dina-centímetro para os amigos do outro lado da poçinha) e libras-pés, já agora.
Trabalho de casa: Por que não se exprime M0 em joules?
Author
Bem, o que dizer de um comentário desses?
Jose Simoes, a equação representada no presente artigo mantém a composição das constantes e unidades já elaboradas em 1979 pelos professores eméritos supracitados. Não há qualquer restrição imposta por parte da comunidade científica em qualquer pessoa utilizar-se do sistema CGS, para que se possa ser definido com expressões do tipo “que horror, que horror“, “mas usar o sistema CGS, caramba, o maio de 68 já foi à quase 47 anos“, “Vamos orgulhosamente actualizar-nos para o SI (Sistema Internacional de Unidades) e escrever antes, e com mais 1 algarismo significativo“. Portanto:
1) Além de mostrar ao leitor a propositura do desafio, não há qualquer intenção, constante no artigo, por parte do autor, em não se manter fiel às constantes e unidades da equação original, constantes estas que seus criadores se preocuparam em manterem consistentes com os valores de magnitude produzidos principalmente pela escala Richter:
M_w = 2/3 [log ((M_0/N.m) – 9,1)] = 2/3 [log ((M_0/dina.cm) – 16,1)] = 2/3 [log (M_0 – 10,7)]
2) Novamente, não há qualquer problema, nos dias atuais, em continuar utilizando-se do sistema CGS. Neste país, Estados Unidos, é deveras recorrente a utilização de tal (sistema). Daria no mesmo solicitações, por parte de qualquer um, residente no país, aos editores dos boletins de tempo dos EUA, que as temperaturas sejam informadas em °C ao invés de °F, porque boa parte do mundo assim o utiliza.
“mas usar o sistema CGS, caramba, o maio de 68 já foi à quase 47 anos.”
Sr. Simoes, se a utilização de coisas do passado porventura signifique, para algumas pessoas, sinônimo de “velho“, “fora de moda” ou até mesmo “ultrapassado“, então sinto decepcioná-lo, pois sou um homem extremamente bem resolvido com relação a tais assuntos. 😉
Neste sítio, venho percebendo, constantemente, palavras ácidas nos comentários do engenheiro. Uma atitude lastimável.
Primeiro não sou engenheiro. Não é bom nem mau – não sou, nunca fui e é pouco provável que venha a ser. Nem sequer licenciado em engenharia.
Bem falando em palavras ácidas…
Ao contrário do que afirma actualmente nos EEUU a comunidade cientifica já usa praticamente a 100% o SI.
Não vejo nada de realmente errado em usar CGS mas nessa equação em particular não funciona em SI na sua forma original, se bem que na a formula de M_w que dá na resposta às minhas notas já funciona.
O problema com isso é que causa um sem fim de erros, é natural que uma pessoa calcule um momento em N m, enfim é a unidade recomendada a muitos níveis incluindo, em Portugal, a nível legal, e depois coloca na formula e dá erro. Escrever as formulas assim é pedir para que as pessoas errarem. E não há qualquer boa razão para que seja assim. Aliás grandes problemas aconteceram à uns 15 anos nos EEUU com uma sonda para Marte devido a baralhanço com unidade. Não ser contra isso é pedir que essas coisas aconteçam.
.
Sim sei que a fórmula vem de 79, e foi escrito por pessoas prestigiadas, mas 79 foi à 36 anos e as coisas evoluem.
Author
“Ao contrário do que afirma actualmente nos EEUU a comunidade cientifica já usa praticamente a 100% o SI.”
Não entendeu absolutamente nada…
“Não vejo nada de realmente errado em usar CGS mas nessa equação em particular não funciona em SI na sua forma original”
Envie um email ao catedrático Kanamori informando-o sobre tal tragédia… ademais, não faz parte de quaisquer objetivos desta temática fazer as equações “funcionarem” no Sistema Internacional. É responder, sucintamente, o que representa tal equação. Comentários adicionais, expressos em cavalheirismo ou cordialidade mínima, encontram portas abertas.
“Sim sei que a fórmula vem de 79, e foi escrito por pessoas prestigiadas, mas 79 foi à 36 anos e as coisas evoluem.”
De modo particular, não nutro da mesma convicção do Jose Simoes.
“E não há qualquer boa razão para que seja assim. Aliás grandes problemas aconteceram à uns 15 anos nos EEUU com uma sonda para Marte devido a baralhanço com unidade.”
Se calhar, este artigo, brevemente, será código-fonte para ativação de qualquer ogiva nuclear algures, quem sabe em algum país da Ásia e, devido a não especificidade deste ou outro sistema de unidades, nos levará à III Guerra Mundial…